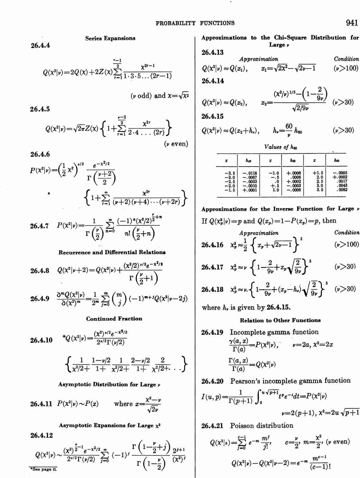
<< To page 940 Table of Contents Subject Index To page 942 >>

image of page 941