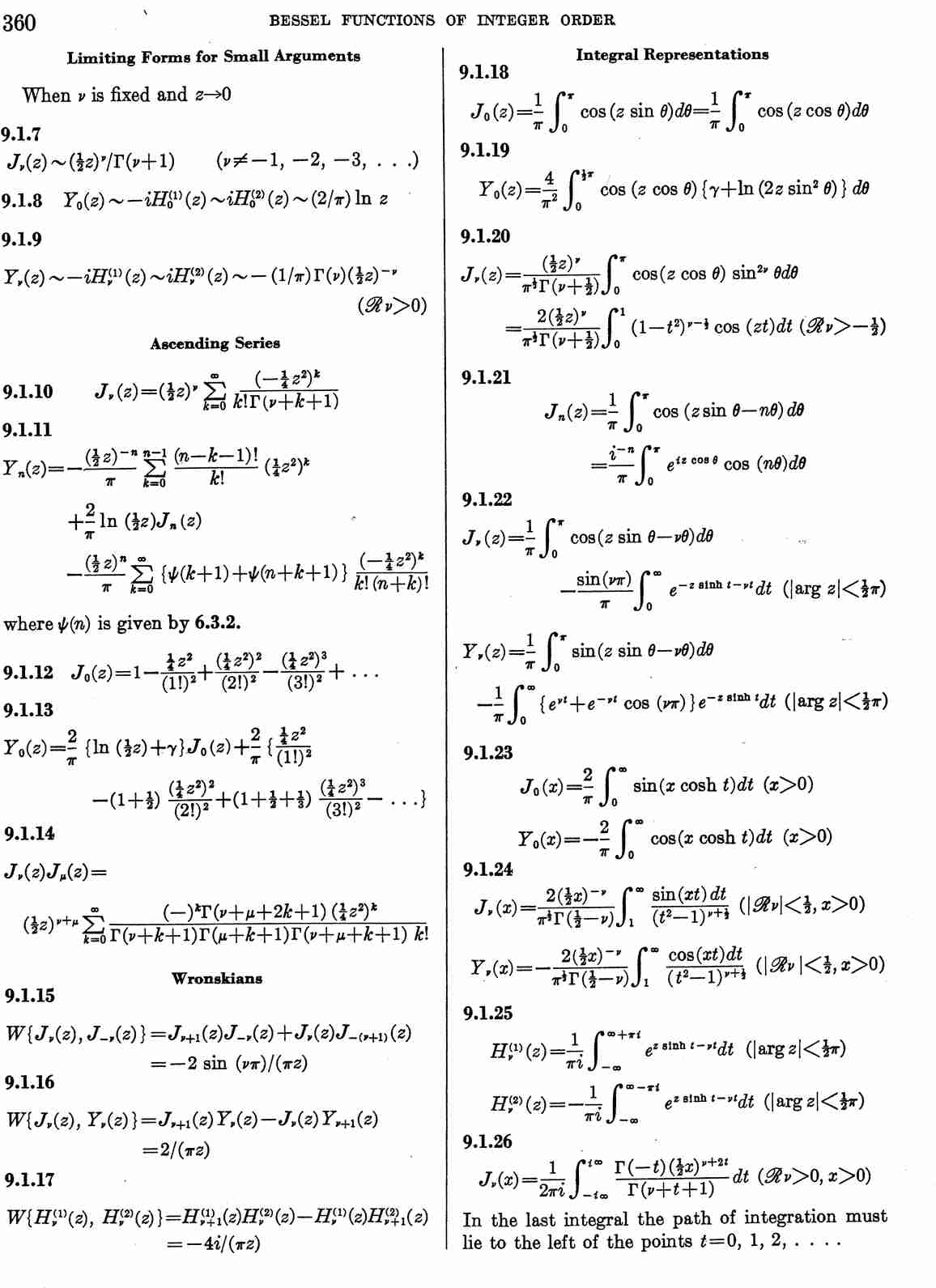
<< To page 359 Table of Contents Subject Index To page 361 >>

image of page 360