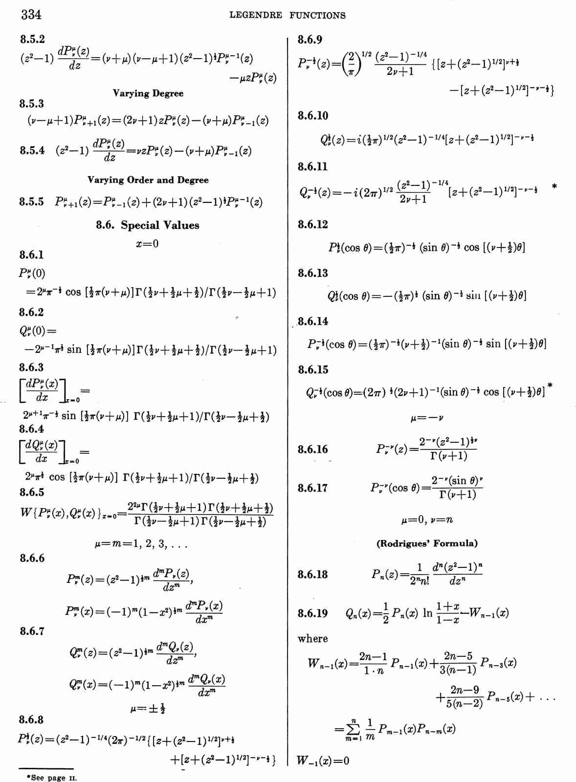
<< To page 333 Table of Contents Subject Index To page 335 >>

image of page 334