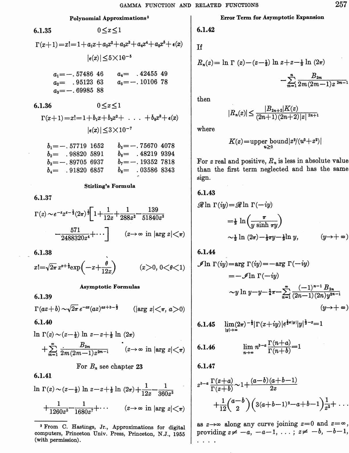
<< To page 256 Table of Contents Subject Index To page 258 >>

image of page 257