<< To page 253 Table of Contents Subject Index To page 256 >>

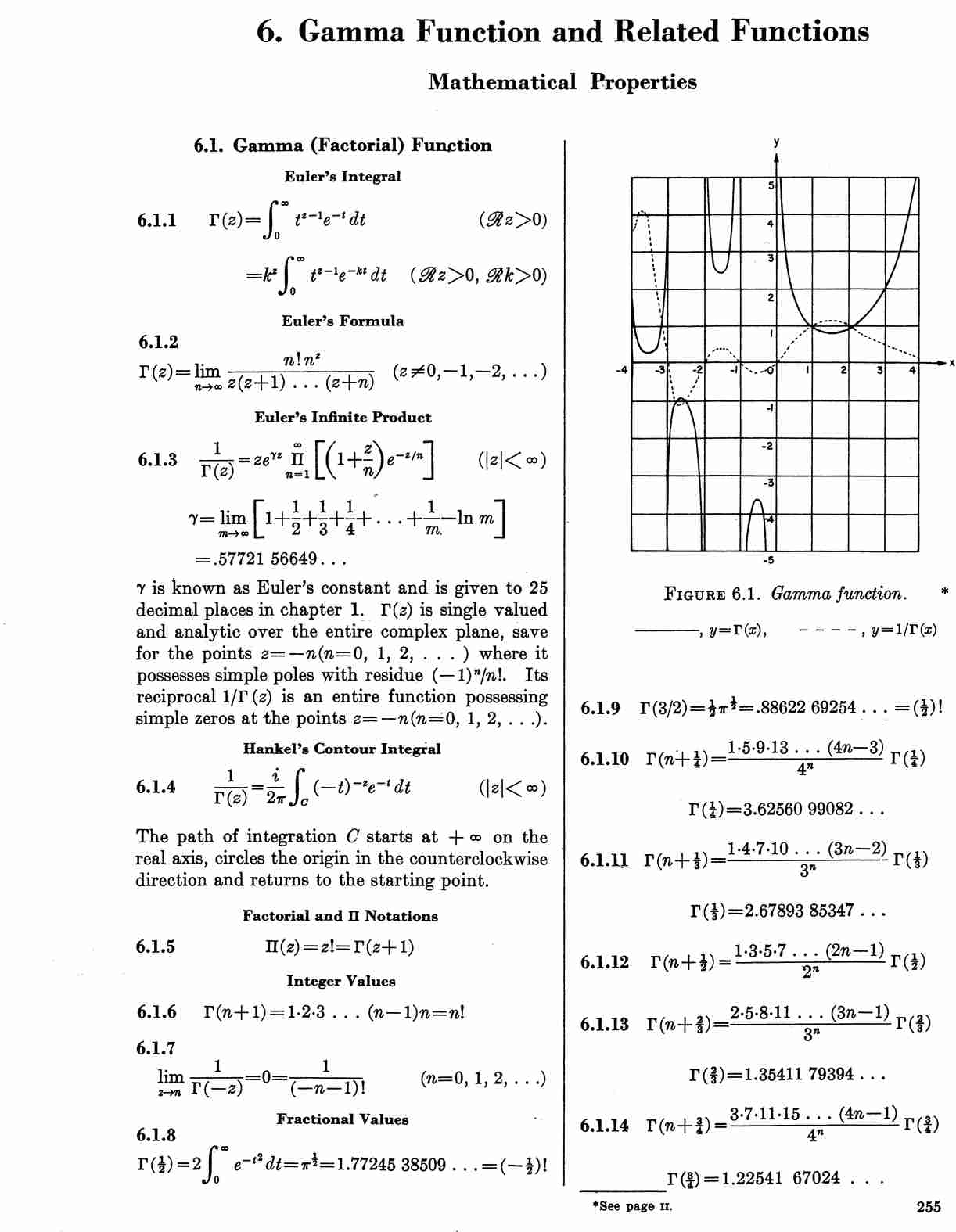
image of page 255